重要提示: 请勿将账号共享给其他人使用,违者账号将被封禁!
查看《购买须知》>>>
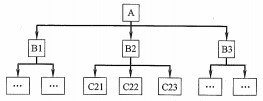
首页>试题列表>如图所示一个线性组织结构模式,该图所反映的组织关系表示正确的是()。
搜题
题目内容 (请给出正确答案)
[多选题]

如图所示一个线性组织结构模式,该图所反映的组织关系表示正确的是()。

A. B2接受A的直接指挥

B. A可以直接向C21下达指令

C. A必须通过B2向C22下达指令

D. B2对C21有直接指挥权

E. B1有权向C23下达指令

查看答案
您好, 请在下方输入框内输入要搜索的题目:
搜题
更多“如图所示一个线性组织结构模式,该图所反映的组织关系表示正确的是()。”相关的问题

第1题

如图所示一个线性组织结构模式,该图所反映的组织关系表示正确的是()。

A. B2接受A的直接指挥

B. A可以直接向C21下达指令

C. A必须通过B2向C22下达指令

D. B2对C21有直接指挥权

E. B1有权向C23下达指令

点击查看答案

第2题

某建设单位在工程项目组织结构设计中采用了线性组织结构模式(如图所示)。图中反映了业主、设计单位、施工单位和为业主提供设备的供货商之间的组织关系,该图表明()。

A. 总经理可直接向设计单位下达指令

B. 总经理可直接向设备供应商下达指令

C. 总经理必须通过业主代表下达指令

D. 业主代表可直接向施工单位下达指令

点击查看答案

第3题

某建设单位在工程项目组织结构设计中采用了线性组织结构模式(如下图所示),图中反映了业主,设计单位,施工单位和为业主提供设备的供应商之间的组织关系,该图表明()。

A. 总经理可直接向设计单位下达指令

B. 总经理可直接向项目经理下达指令

C. 总经理必须通过业主代表下达指令

D. 业主代表可直接向施工单位下达指令

点击查看答案

第4题

以下关于项目组织结构图的说法正确的是()。

A. 项目组织结构图反映一个组织系统(如项目管理班子)中各子系统之间和各元素(如各工作部门)之间的组织关系

B. 项目组织结构图应表达业主方以及项目的参与单位各工作部门之间的组织关系

C. 业主方、设计方、施工方、供货方和工程管理咨询方的项目管理的组织结构都可用各自的项目组织结构图予以描述

D. 项目组织结构图应反映项目经理及费用(投资或成本)控制、进度控制、质量控制、合同管理、信息管理和组织与协调等主管工作部门或主管人员之间的组织关系

E. 项目组织结构图不会反映的是各工作单位、各工作部门和各工作人员之间的组织关系

点击查看答案

第5题

项目组织结构图应反映项目经理与()工作部门之间的组织关系。

A. 进度控制

B. 信息管理

C. 质量控制

D. 材料采购

E. 合同管理

点击查看答案

第6题

下列关于桥梁构件结构图说法错误的是()。

A. 基础结构图主要表示出桩基形式,尺寸及配筋情况

B. 桥台结构图只能表达出桥台内部结构的形状、尺寸和材料

C. 主梁是桥梁的下部结构是桥体主要受力构件

D. 桥面系结构图的作用是表示桥面铺装的各层结构组成和位置关系

E. 承台结构图只能表达钢筋结构图表达桥台的配筋、混凝土及钢筋用量情况

点击查看答案

第7题

下图为某建设单位在工程项目组织结构设计中采用了线性组织结构模式,反映了业主、设计单位、施工单位和为业主提供设备的供货商之间的组织关系,该图表明()。

A. 总经理可直接向设计单位下达指令

B. 总经理可直接向设备供应商下达指令

C. 总经理必须通过业主代表下达指令

D. 业主代表可直接向施工单位下达指令

点击查看答案

第8题

建设工程施工管理中的组织结构图反映的是()。

A. 一个项目管理班子中各组成部门之间的逻辑关系

B. 一个项目中各组成部分之间的组织关系

C. 一个项目管理班子中各组成部门之间的组织关系

D. 一个项目中各组成部分之间的逻辑关系

点击查看答案

第9题

用图的形式反映一个组织系统中各项工作之间的逻辑关系,这类图就是()。

A. 工作流程图

B. 项目结构图

C. 合同结构图

D. 组织结构图

点击查看答案

第10题

反映一个组织系统中各子系统之间或各工作部门之间的指令关系的是()。

A. 组织结构模式

B. 组织分工

C. 工作流程组织

D. 工作分解结构

点击查看答案

第11题

下列关于桥梁构件结构图说法错误的是()。

A. 基础结构图主要表示出桩基形式,尺寸及配筋情况

B. 桥台结构图只能表达出桥台内部结构的形状、尺寸和材料

C. 主梁是桥梁的下部结构是桥体主要受力构件

D. 桥面系结构图的作用是表示桥面铺装的各层结构组成和位置关系

E. 承台结构图只能表达钢筋结构图表达桥台的配筋、混凝土及钢筋用量情况

点击查看答案

第12题

下列关于桥梁构件结构图说法错误的是()。

A. 基础结构图主要表示出桩基形式,尺寸及配筋情况

B. 桥台结构图只能表达出桥台内部结构的形状、尺寸和材料

C. 主梁是桥梁的下部结构是桥体主要受力构件

D. 桥面系结构图的作用是表示桥面铺装的各层结构组成和位置关系

E. 承台结构图只能表达钢筋结构图表达桥台的配筋、混凝土及钢筋用量情况

点击查看答案

第13题

组织结构模式和组织分工都是一种相对动态的组织关系,工作流程组织则可反映一个组织系统中各项工作之间的逻辑关系,是一种静态关系。()

A. 正确

B. 错误

点击查看答案

第14题

在下列组织工具中,能够反映一个组织系统中各工作部门或管理人员之间指令关系的组织工具是()。

A. 组织结构模式

B. 项目结构模式

C. 工作流程组织

D. 组织分工

点击查看答案

第15题

在家庭评估中,社会工作者经常运用家庭结构图作为评估的工具。家庭结构图是用图形方式来表示家庭的结构、家庭成员之间的关系以及家庭的一些重要事件等,它帮助社会工作者迅速、形象地了解和掌握受助家庭成员的结构、成员关系以及其他一些家庭情况。下图所示的家庭结构图所代表的意思是()。「huixue_img/importSubject/1504404719911702528.jpeg」

A. 一个40岁的离婚女性带着一个10岁的女儿

B. 一个40岁的离婚女性带着一个10岁的儿子

C. 一个40岁的离婚男性带着一个10岁的儿子

D. 一个40岁的离婚男性带着一个10岁的女儿

点击查看答案

第16题

组织结构模式和组织分工都是一种相对动态的组织关系。而工作流程组织则可反映一个组织系统中各项工作之间的逻辑关系,是一种静态关系。

A. 正确

B. 错误

点击查看答案

第17题

关于建筑电气平面图说法正确的是()。

A. 表示供配电系统的全貌和接线关系

B. 表示建筑内所有电气设备的安装位置

C. 表示建筑内各动力设备的安装位置

D. 表示配电线路的布置走向

E. 表示柜、盘的布置图

点击查看答案

第18题

关于建筑电气平面图说法正确的是()。

A. 表示供配电系统的全貌和接线关系

B. 表示建筑内所有电气设备的安装位置

C. 表示建筑内各动力设备的安装位置

D. 表示配电线路的布置走向

E. 表示柜、盘的布置图

点击查看答案

第19题

关于建筑电气平面图说法正确的是()。

A. 表示供配电系统的全貌和接线关系

B. 表示建筑内所有电气设备的安装位置

C. 表示建筑内各动力设备的安装位置

D. 表示配电线路的布置走向

E. 表示柜、盘的布置图

点击查看答案

第20题

关于建筑电气平面图说法正确的是()。

A. 表示供配电系统的全貌和接线关系

B. 表示建筑内所有电气设备的安装位置

C. 表示建筑内各动力设备的安装位置

D. 表示配电线路的布置走向

E. 表示柜、盘的布置图

点击查看答案

第21题

下列关于结构施工图的作用的说法中,不正确的是()。

A. 结构施工图是施工放线、开挖基坑(槽),施工承重构件(如梁、板、柱、墙、基础、楼梯等)的主要依据

B. 结构立面布置图是表示房屋中各承重构件总体立面布置的图样

C. 结构设计说明是带全局性的文字说明

D. 结构详图一般包括:梁、柱、板及基础结构详图,楼梯结构详图,屋架结构详图,其他详图(如天沟、雨篷、过梁等)

点击查看答案

第22题

下列关于结构施工图的作用的说法中,错误的是()。

A. 结构施工图是施工放线、开挖基坑(槽),施工承重构件(如梁、板、柱、墙、基础、楼梯等)的主要依据

B. 结构立面布置图是表示房屋中各承重构件总体立面布置的图样

C. 结构设计说明是带全局性的文字说明

D. 结构详图一般包括:梁、柱、板及基础结构详图,楼梯结构详图,屋架结构详图,其他详图(如天沟、雨篷、过梁等)

点击查看答案

第23题

下图所示的职能组织结构中,m、f1、f3、g1、g2等分别代表不同的工作部门或主管人员。这个组织结构表明()。

A. m可以直接指挥g1和g2

B. g2只接受f1下达的命令

C. g1可直接接受m的指令

D. g1接受f1、f2和f3的直接命令

点击查看答案

第24题

反映一个组织系统中各子系统之间或各元素(各工作部门)之间指令关系的是

A. 组织结构模式

B. 组织分工

C. 工作流程组织

D. 工作分解结构

点击查看答案

第25题

项目组织结构图应主要表达出业主方的组织关系,而项目的参与单位等有关的各工作部门之间的组织关系则应省略。

A. 正确

B. 错误

点击查看答案

第26题

下图所示的职能组织结构中,m、f1、f2、f3、g1、g2等分别代表不同的工作部门或主管人员。这个组织结构表明()。「49569_zvjy_3294」

A. m可以直接指挥g1和g2

B. g2只接受f2下达的指令

C. g1可直接接受m的指令

D. gl接受fl、f2和f3的直接指挥

点击查看答案

第27题

()可以清楚地表示某一部分管道的详细结构尺寸。

A. 详图

B. 大样图

C. 节点图

D. 基本图

点击查看答案

第28题

背景资料:项目部承建的桥梁工程的合同工期要求为100d,为保证按照合同工期保质保量地完成任务。

A. 横道图总体表示了各施工过程所需的工期和总工期,并综合反映了各分部分项工程相互间的关系是比较常用的一种施工进度计划的表达方式,它的优点是()。(单选题)

B. 在绘制施工进度图(特别是横道图)时,必须明确各施工过程()。(单选题)

C. 网络计划技术既是一种编制计划的方法,又是一种科学的管理方法。网络计划技术可以为施工管理提供许多信息:()。(多选题)

D. 通过使用横道图与网络图的比较,网络图进度计划对工期的调整优化是明显的。(判断题)

点击查看答案

第29题

如图所示模板支撑系统,描述正确的是?()

A. 模板支撑高度大于5米,必须编制高支模工程专项施工方案

B. 模板支撑高度大于8米,必须编制高支模工程专项施工方案,并组织专家进行论证

C. 此模板支撑高度31米,落地式钢管外脚手架高度33米,也必须编制落地式钢管外脚手架专项施工方案,并组织专家进行论证

D. 模板支撑高度大于30米,必须编制安全专项施工方案,并组织专家进行论证

点击查看答案

第30题

如图所示模板支撑系统,描述正确的是?()

A. 模板支撑高度大于5米,必须编制高支模工程专项施工方案

B. 模板支撑高度大于8米,必须编制高支模工程专项施工方案,并组织专家进行论证

C. 此模板支撑高度31米,落地式钢管外脚手架高度33米,也必须编制落地式钢管外脚手架专项施工方案,并组织专家进行论证

D. 模板支撑高度大于30米,必须编制安全专项施工方案,并组织专家进行论证

点击查看答案

第31题

如图所示模板支撑系统,描述正确的是?()

A. 模板支撑高度大于5米,必须编制高支模工程专项施工方案

B. 模板支撑高度大于8米,必须编制高支模工程专项施工方案,并组织专家进行论证

C. 此模板支撑高度31米,落地式钢管外脚手架高度33米,也必须编制落地式钢管外脚手架专项施工方案,并组织专家进行论证

D. 模板支撑高度大于30米,必须编制安全专项施工方案,并组织专家进行论证

点击查看答案

第32题

如图所示模板支撑系统,描述正确的是?()

A. 模板支撑高度大于5米,必须编制高支模工程专项施工方案

B. 模板支撑高度大于8米,必须编制高支模工程专项施工方案,并组织专家进行论证

C. 此模板支撑高度31米,落地式钢管外脚手架高度33米,也必须编制落地式钢管外脚手架专项施工方案,并组织专家进行论证

D. 模板支撑高度大于30米,必须编制安全专项施工方案,并组织专家进行论证

点击查看答案

第33题

如图所示模板支撑系统,描述正确的是?()

A. 模板支撑高度大于5米,必须编制高支模工程专项施工方案

B. 模板支撑高度大于8米,必须编制高支模工程专项施工方案,并组织专家进行论证

C. 此模板支撑高度31米,落地式钢管外脚手架高度33米,也必须编制落地式钢管外脚手架专项施工方案,并组织专家进行论证

D. 模板支撑高度大于30米,必须编制安全专项施工方案,并组织专家进行论证

点击查看答案

第34题

如图所示模板支撑系统,描述正确的是?()

A. 模板支撑高度大于5米,必须编制高支模工程专项施工方案

B. 模板支撑高度大于8米,必须编制高支模工程专项施工方案,并组织专家进行论证

C. 此模板支撑高度31米,落地式钢管外脚手架高度33米,也必须编制落地式钢管外脚手架专项施工方案,并组织专家进行论证

D. 模板支撑高度大于30米,必须编制安全专项施工方案,并组织专家进行论证

点击查看答案

第35题

下列关于桥梁侧剖面图的绘制步骤与方法的说法中,正确的是()。

A. 侧剖面图是由两个不同位置剖面组合构成的图样,反映桥台及桥墩两个不同剖面位置

B. 用中实线绘制未上主梁及桥台未回填土情况下的桥台、盖梁平面图,并标注相关尺寸

C. 左半部分图样反映桥墩位置横剖面,右半部分反映桥台位置横剖面

D. 左半部分图示出桥台立面图样、尺寸构造等

E. 右半部分图示出桥墩及桩柱立面图样、尺寸构造

点击查看答案

第36题

下列关于楼梯结构施工图基本规定的说法中,有误的是()。

A. 楼梯结构平面图应直接绘制出休息平台板的配筋

B. 楼梯结构施工图包括楼梯结构平面图、楼梯结构剖面图和构件详图

C. 钢筋混凝土楼梯的可见轮廓线用细实线表示,不可见轮廓线用细虚线表示

D. 当楼梯结构剖面图比例较大时,也可直接在楼梯结构剖面图上表示梯段板的配筋

点击查看答案

第37题

下列关于楼梯结构施工图基本规定的说法中,有误的是()。

A. 楼梯结构平面图应直接绘制出休息平台板的配筋

B. 楼梯结构施工图包括楼梯结构平面图、楼梯结构剖面图和构件详图

C. 钢筋混凝土楼梯的可见轮廓线用细实线表示,不可见轮廓线用细虚线表示

D. 当楼梯结构剖面图比例较大时,也可直接在楼梯结构剖面图上表示梯段板的配筋

点击查看答案

第38题

下列关于楼梯结构施工图基本规定的说法中,错误的是()。

A. 楼梯结构平面图应直接绘制出休息平台板的配筋

B. 楼梯结构施工图包括楼梯结构平面图、楼梯结构剖面图和构件详图

C. 钢筋混凝土楼梯的可见轮廓线用细实线表示,不可见轮廓线用细虚线表示

D. 当楼梯结构剖面图比例较大时,也可直接在楼梯结构剖面图上表示梯段板的配筋

点击查看答案

第39题

项目组织结构图应主要表达出业主方的组织关系,而项目的参与单位等有关的各工作部门之间的组织关系则应省略。()

A. 正确

B. 错误

点击查看答案

第40题

()是最简单的组织方式,组织由上而下分成若干层级,各层级中每一个部门地位相等、权责相符,层级间只有直线和垂直关系。

A. 直线式组织结构

B. 直线参谋式组织结构

C. 职能式组织结构

D. 直线职能式组织结构

点击查看答案

第41题

.......剖面索引符号的含义表述正确的是()。

A. 2表示剖面所在图纸的编号

B. 2表示剖面的编号

C. 5表示剖面所在图纸的编号

D. 5表示剖面的编号

E. 黑色箭头表示剖视方向

点击查看答案

第42题

关键线路的特点有()。

A. 关键线路在网络图中不一定只有一条

B. 总时差最小的工作所组成的线路是关键线路

C. 箭尾节点时间加工作持续时间不等于箭头节点时间

D. 关键线路上所有节点的两个时间参数相等

E. 如果节点的两个时间参数相等,该节点不一定是关键线路上的节点

点击查看答案

第43题

下列关于结构平面布置图基本规定的说法中,有误的是()。

A. 对于承重构件布置相同的楼层,只画出一个结构平面布置图,称为标准层结构平面布置图

B. 在楼层结构平面图中,外轮廓线用中实线表示

C. 结构平面布置图主要表示各楼层结构构件的平面布置情况

D. 在楼层结构平面图中,结构构件用构件代号表示

点击查看答案

第44题

下列关于结构平面布置图基本规定的说法中,有误的是()。

A. 对于承重构件布置相同的楼层,只画出一个结构平面布置图,称为标准层结构平面布置图

B. 在楼层结构平面图中,外轮廓线用中实线表示

C. 结构平面布置图主要表示各楼层结构构件的平面布置情况

D. 在楼层结构平面图中,结构构件用构件代号表示

点击查看答案

第45题

在社会服务机构中,()是最简单的组织方式。

A. 直线式组织结构

B. 矩阵式组织结构

C. 职能式组织结构

D. 直线参谋式组织结构

点击查看答案

第46题

组织层级之间存在着水平和垂直的关系,而参谋作为专家有责任来协助直线部门的管理者,指的是社会服务机构结构类型中的()。

A. 直线型组织结构

B. 直线参谋式组织结构

C. 职能式组织结构

D. 直线职能式组织结构

点击查看答案

第47题

某儿童保护机构设立了研究部门,充当机构领导的参谋,则该结构属于()。

A. 直线式组织机构

B. 矩阵式组织结构

C. 职能式组织结构

D. 直线参谋式组织结构

点击查看答案

第48题

图10—1所示的家庭结构图所代表的意思是()。「huixue_img/importSubject/1517101570448297984.png」

A. 一个32岁的离婚女性带着一个8岁的女儿

B. 一个32岁的离婚女性带着一个8岁的儿子

C. 一个32岁的离婚男性带着一个8岁的儿子

D. 一个32岁的离婚男性带着一个8岁的女儿

点击查看答案

第49题

下列关于结构施工图的作用的说法中,不正确的是()。

A. 结构施工图是施工放线、开挖基坑(槽),施工承重构件(如梁、板、柱、墙、基础、楼梯等)的主要依据

B. 结构立面布置图是表示房屋中各承重构件总体立面布置的图样

C. 结构设计说明是带全局性的文字说明

D. 结构详图一般包括:梁、柱、板及基础结构详图,楼梯结构详图,屋架结构详图,其他详图(如天沟、雨篷、过梁等)

点击查看答案

第50题

下列关于结构施工图的作用的说法中,不正确的是()。

A. 结构施工图是施工放线、开挖基坑(槽),施工承重构件(如梁、板、柱、墙、基础、楼梯等)的主要依据

B. 结构立面布置图是表示房屋中各承重构件总体立面布置的图样

C. 结构设计说明是带全局性的文字说明

D. 结构详图一般包括:梁、柱、板及基础结构详图,楼梯结构详图,屋架结构详图,其他详图(如天沟、雨篷、过梁等)

点击查看答案
下载安全员考试通APP
热门考试 全部 >
钢筋混凝土梁中,主要是用来承受由剪力和弯矩在梁内引起的主拉应力的钢筋称为()。 下列关于变形及其相关假设的说法,不正确的是()。 某建筑施工企业中标某市高层商业大楼,该工程项目总建筑面积为56120平方米,地上32层,结构类型为框架-剪力墙结构,施工过程中,施工单位打算对部分钢筋进行代换,因此进行了严格的验算。甲方又对图纸提出了设计变更。根据背景资料,回答下列1~4问题。 某一个三层办公楼工程,在工程招标与施工单位签订合同时明确提出:室内地面为水磨石整体地面;外墙面用防水涂料;内墙用高级抹灰做墙面;吊顶用轻钢龙骨吊顶。按一般民用建筑装饰装修的要求进行。请根据此资料回答下列问题。 某工程,基础埋深1.5米,原设计采用砌砖扩展基础,因施工过程中超挖至2.5米,因此改为毛石扩展基础。 某地区宿舍楼采用塑钢门窗,首层外门采用双扇大门,门窗安装方式为立口。请根据此资料回答下列问题。 施工项目目标控制包括:施工项目进度控制、施工项目质量控制、()、施工项目安全控制四个方面。 常温条件下日砌筑高度普通混凝土小砌块控制在()m内。 钢构件起吊,吊点采用()绑扎,绑扎点应用软材料垫至其中以防钢构件受损。 模板及其支架应满足的性能要求不包括()。
相关试题 全部 >
某施工单位承接了一项住宅小区的施工任务,经勘察发现在施工现场东南侧有部分软弱地基,承载能力不能满足要求,经讨论决定采用灰土地基进行处理,施工过程中,因材料供应原因,不得不用部分生石灰粉代替熟石灰。根据背景资料,回答下列1~4问题。 某施工单位承接了一栋综合楼工程的施工任务,该工程地下2层,地上8层,基底标高-5.80m,檐高29.97m,基础类型为墙下钢筋混凝土条形基础,局部筏形基础,结构形式为现浇框架-剪力墙结构。根据背景资料,回答下列1~4问题。 某工程采用钢筋混凝土钻孔灌注桩施工,水泥采用强度等级为42.5的普通硅酸盐水泥,施工前,施工单位根据工程具体情况编制了专项施工方案,每道工序开始前,逐级做好了安全技术和施工技术交底,并认真履行签字手续,施工过程中严格进行质量控制。根据背景资料,回答下列1~4问题。 某钢结构工程公司承接了某工业厂房的施工任务,该工程采用钢结构,构建的连接方式有焊接和螺栓连接两种。施工单位在施工过程中严格检查,确保工程施工质量符合设计和规范要求。根据背景资料,回答下列1~4问题。 某电视塔施工时因暴雨发生大量沉降,导致停工12个月后恢复施工。根据背景资料,回答下列1~4问题。 某施工单位承接了一项公共建筑工程的施工任务,因地基承载力较低,天然地基承载能力不能满足设计要求,故采用水泥粉煤灰碎石桩复合地基,地基土层土质不同。根据背景资料,回答下列1~4问题。 某商住楼工程,地处繁华闹市区,建筑面积28000㎡,地下1层,地上21层,钢筋混凝土框架结构,首层悬挑板的最大跨度为3.6m,在主体施工阶段,为保证施工安全,施工单位在建筑物的外围搭设了双排落地脚手架,脚手架的外立面用密目安全网进行了全封闭处理,作业层周边进行了硬防护。根据背景资料,回答下列1~4问题。 加强职业道德只是经营之外的事务,往往会加大企业的负担。 当非坚向洞口短边边长大于或等于1200mm时,应在洞口作业侧设置防护栏杆。 特种门窗及天窗等建筑外门窗节能工程的施工质量验收不适用于《建筑节能工程施工质量验收标准》的门窗节能工程的有关规定。
重置密码
账号:
旧密码:
新密码:
确认密码:
确认修改
购买搜题卡查看答案
购买前请仔细阅读《购买须知》
请选择支付方式
微信支付
支付宝支付
选择优惠券
优惠券
请选择
点击支付即表示你同意并接受《服务协议》《购买须知》
立即支付
搜题卡使用说明

1. 搜题次数扣减规则:

功能 扣减规则
基础费
(查看答案)
加收费
(AI功能)
文字搜题、查看答案 1/每题 0/每次
语音搜题、查看答案 1/每题 2/每次
单题拍照识别、查看答案 1/每题 2/每次
整页拍照识别、查看答案 1/每题 5/每次

备注:网站、APP、小程序均支持文字搜题、查看答案;语音搜题、单题拍照识别、整页拍照识别仅APP、小程序支持。

2. 使用语音搜索、拍照搜索等AI功能需安装APP(或打开微信小程序)。

3. 搜题卡过期将作废,不支持退款,请在有效期内使用完毕。

请使用微信扫码支付(元)
订单号:
遇到问题请联系在线客服
请不要关闭本页面,支付完成后请点击【支付完成】按钮
遇到问题请联系在线客服
恭喜您,购买搜题卡成功 系统为您生成的账号密码如下:
重要提示: 请勿将账号共享给其他人使用,违者账号将被封禁。
发送账号到微信 保存账号查看答案
怕账号密码记不住?建议关注微信公众号绑定微信,开通微信扫码登录功能
警告:系统检测到您的账号存在安全风险

为了保护您的账号安全,请在“上学吧”公众号进行验证,点击“官网服务”-“账号验证”后输入验证码“”完成验证,验证成功后方可继续查看答案!

- 微信扫码关注上学吧 -
警告:系统检测到您的账号存在安全风险
抱歉,您的账号因涉嫌违反上学吧购买须知被冻结。您可在“上学吧”微信公众号中的“官网服务”-“账号解封申请”申请解封,或联系客服
- 微信扫码关注上学吧 -
请用微信扫码测试
选择优惠券
确认选择
谢谢您的反馈

您认为本题答案有误,我们将认真、仔细核查,如果您知道正确答案,欢迎您来纠错

找答案