• 首页
  • 安卓App
    安卓App二维码

    扫码下载安卓App

  • 苹果App
    苹果App二维码

    扫码下载苹果App

  • 微信小程序
    微信小程序二维码

    扫码使用小程序

  • 客服微信
    微信客服二维码

    扫码添加客服微信

  • 登录
  • 注册
[切换]
  • 首页
  • 找答案
  • 题库
  • APP
选择地区 ×
选择专业 ×
当前选择地区:北京 更改地区
2025年11月16日施工员(市政)历年真题-安全员考试通
单选题
1 某市地铁工程施工作业面内,因大量的水和流沙涌人,引起隧道部分结构损坏及周边地区地面沉降,造成3栋建筑物严重倾斜,以及防汛墙局部塌陷并引发管涌,该事故造成直接经济损失约合1.5亿元,该事故属于()。
添加笔记 (0条)
收藏
纠错
标记
2 装饰砂浆常用的工艺做法不包括()。
添加笔记 (0条)
收藏
纠错
标记
3 项目负责人主要指(),在工程项目中处于中心地位。
添加笔记 (0条)
收藏
纠错
标记
4 下列选项不属于按防护部位分类的安全防护用品的是()。
添加笔记 (0条)
收藏
纠错
标记
5 根据国家标准《通用硅酸盐水泥》GB175-2007规定,粉煤灰水泥的强度等级有哪些()。
添加笔记 (0条)
收藏
纠错
标记
6 下列建筑工程施工资料管理软件操作中,不属于记录表格操作的是()。
添加笔记 (0条)
收藏
纠错
标记
7 一条新建输水管道,设计直径2.0m,工程不具备开槽施工条件,且施工范围障碍物较多时,应采用的施工方法是()。
添加笔记 (0条)
收藏
纠错
标记
8 某施工工地起重机倒塌,造成8人死亡3人重伤,根据《生产安全事故报告和调查处理条例》,该事故等级属于()。
添加笔记 (0条)
收藏
纠错
标记
9 测定混凝土轴心抗压强度时,采用的标准试件的尺寸为()mm。
添加笔记 (0条)
收藏
纠错
标记
10 下列工程图样中,不属于结构施工图的是()。
添加笔记 (0条)
收藏
纠错
标记
11 道路的磨耗层又被称为()。
添加笔记 (0条)
收藏
纠错
标记
12 碳素钢是含碳量小于()%的铁碳合金。
添加笔记 (0条)
收藏
纠错
标记
13 2013年1月,甲建筑材料公司聘请王某担任推销员,但2013年3月,由于王某怀孕,身体健康状况欠佳,未能完成任务,为此,公司按合同的约定扣减工资,只发生活费,其后,又有两个月均未能完成承包任务,因此,甲公司拟解除与王某的劳动合同。下列选项中表述正确的是()。
添加笔记 (0条)
收藏
纠错
标记
14 下列选项中,不属于施工项目生产活动的特点的是()。
添加笔记 (0条)
收藏
纠错
标记
15 不属于进场水泥的质量检验项目是()。
添加笔记 (0条)
收藏
纠错
标记
16 不属于城市桥梁架桥机形式的是()。
添加笔记 (0条)
收藏
纠错
标记
17 《安全生产法》规定,事故调查处理应当按照科学严谨、依法依规、实事求是、注重实效的原则,及时准确地查清(),查明事故性质和责任。
添加笔记 (0条)
收藏
纠错
标记
18 设置质量控制点时,应当选择那些保证质量难度()、对质量影响大或者发生质量问题时危害大的对象作为质量控制点。
添加笔记 (0条)
收藏
纠错
标记
19 一般抹灰用的石灰膏可用块状生石灰熟化,常温下熟化时间不应少于()d。
添加笔记 (0条)
收藏
纠错
标记
20 施工中发生事故时,()应当采取紧急措施减少人员伤亡和事故损失,并按照国家有关规定及时向有关部门报告。
添加笔记 (0条)
收藏
纠错
标记
21 平面平行力系独立平衡方程的数目为()个。
添加笔记 (0条)
收藏
纠错
标记
22 根据法律法规有关工程返修的规定,下列说法正确的是()。
添加笔记 (0条)
收藏
纠错
标记
23 严寒地区遭受反复冻融作用的混凝土工程,选用通用水泥中的()拌制混凝土最合适。
添加笔记 (0条)
收藏
纠错
标记
24 建设工程施工前,施工单位负责该项目管理的()应当对有关安全施工的技术要求向施工作业班组、作业人员作出详细说明,并由双方签字确认。
添加笔记 (0条)
收藏
纠错
标记
25 下列措施中,不属于施工项目进度控制的合同措施的是()。
添加笔记 (0条)
收藏
纠错
标记
26 资料分类编码系统应符合()明确规定的资料分类要求。
添加笔记 (0条)
收藏
纠错
标记
27 改良沥青混合料生产温度应根据改良沥青品种、黏度、气候条件、铺装层的厚度确定,通常较普通沥青混合料的正常生产温度提高
添加笔记 (0条)
收藏
纠错
标记
28 仓库或堆料场内,应根据灭火对象的特性,分组布置酸碱、泡沫、清水、二氧化碳等灭火器。每组灭火器不少于4个,每组灭火器之间的距离不大于()m。
添加笔记 (0条)
收藏
纠错
标记
29 施工单位应当对管理人员和作业人员每年至少进行一次安全生产教育培训,每次不少于()学时
添加笔记 (0条)
收藏
纠错
标记
30 在应急救援预案演练方法中总结的目的是()。
添加笔记 (0条)
收藏
纠错
标记
31 下列选项中,不属于城镇道路地下设施的是()。
添加笔记 (0条)
收藏
纠错
标记
32 具备独立施工条件并能形成独立使用功能的建筑物或构筑物为一个()。
添加笔记 (0条)
收藏
纠错
标记
33 市政管道工程施工图中,平面图为()。
添加笔记 (0条)
收藏
纠错
标记
34 砂浆的()是指新拌砂浆能够保持内部水分不泌出流失的能力。
添加笔记 (0条)
收藏
纠错
标记
35 预制构件应按设计位置起吊,曲梁宜采用()。
添加笔记 (0条)
收藏
纠错
标记
36 下列对于砂浆与水泥的说法中错误的是()。
添加笔记 (0条)
收藏
纠错
标记
37 适用于地基承载力较低、台身较高、跨径较大的梁桥,应采用()。
添加笔记 (0条)
收藏
纠错
标记
38 常用来减少或消除交叉口冲突点的方法不包括()。
添加笔记 (0条)
收藏
纠错
标记
39 封闭泥浆的7d立方体抗压强度宜为()。
添加笔记 (0条)
收藏
纠错
标记
40 按桥梁力学体系可分为五种基本体系,下列不符合此类的是()。
添加笔记 (0条)
收藏
纠错
标记
多选题
41 按使用的结合料不同,沥青混合料可分为()。
添加笔记 (0条)
收藏
纠错
标记
42 对于成为一名合格的安全生产管理人员的基本条件,下列说法中正确的有()。
添加笔记 (0条)
收藏
纠错
标记
43 烧结普通砖按抗压强度分为五个强度等级,包括()。
添加笔记 (0条)
收藏
纠错
标记
44 施工单位在施工过程中发现设计文件和图纸有差错的,施工单位采取的正确做法是()。
添加笔记 (0条)
收藏
纠错
标记
45 碳素结构钢的牌号由哪四个部分组成()。
添加笔记 (0条)
收藏
纠错
标记
46 下列哪些属于施工现场的安全防护用具?()
添加笔记 (0条)
收藏
纠错
标记
47 工程项目现场的生产安全事故应急救援预案主要是()
添加笔记 (0条)
收藏
纠错
标记
48 我国关于环境保护相关的法律法规有()。
添加笔记 (0条)
收藏
纠错
标记
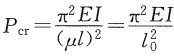
49 两端铰支压杆的临界力公式可统一写成,,关于长度系数μ,下列说法正确的是()。
添加笔记 (0条)
收藏
纠错
标记
50 下列关于沥青混合料分类相关说法中,正确的是()。
添加笔记 (0条)
收藏
纠错
标记
判断题
51 项目执行过程中的关键工作或里程碑事件是编制施工进度计划必须考虑的约束条件。
添加笔记 (0条)
收藏
纠错
标记
52 安全生产检查制度是上级管理部门或企业自身对安全生产状况进行定期或不定期检查的制度。
添加笔记 (0条)
收藏
纠错
标记
53 分项、分部工程完工后,应经验收合格,才允许进行下道工程项目施工。
添加笔记 (0条)
收藏
纠错
标记
54 施工项目是施工企业从施工投标承包开始到保修期满为止的全过程中完成的项目。
添加笔记 (0条)
收藏
纠错
标记
55 水平角观测采用方向观测法时,选择一距离适中、通视良好、成像清晰的观测方向作为零方向
添加笔记 (0条)
收藏
纠错
标记
56 定额计价的价款包括分部分项工程费、措施费、利润、规费和税金。
添加笔记 (0条)
收藏
纠错
标记
57 宽度21米的城市主干道改性沥青磨耗层摊铺,施工摊铺拟选择最大摊铺宽度在9m以上,最大达16m的大型摊铺机两台并排作业。
添加笔记 (0条)
收藏
纠错
标记
58 城镇沥青道路路基和路面压实时,振动轮可采用不同的宽度和直径参数。
添加笔记 (0条)
收藏
纠错
标记
59 混凝土的抗渗等级用标准试验方法进行试验,以每组六个试件,三个试件未出现渗水时,所能承受的最大静水压来确定。
添加笔记 (0条)
收藏
纠错
标记
60 在攀登上下时,应先对攀登工具(如梯子)加以检查和验收。
添加笔记 (0条)
收藏
纠错
标记
61 纵向扫地杆应采用直角扣件固定在距底座上皮不大于300mm处横杆上。
添加笔记 (0条)
收藏
纠错
标记
62 通过建立施工安全管理体系,可以改善企业的安全生产规章制度不健全、管理方法不适当、安全生产状况不佳的现状。
添加笔记 (0条)
收藏
纠错
标记
63 道路纵断面图布局分左右两部分。
添加笔记 (0条)
收藏
纠错
标记
64 图形平面图中定位轴线的编号,其径向轴线宜用阿拉伯数字表示,从左下角开始,按顺时针顺序编写。
添加笔记 (0条)
收藏
纠错
标记
65 市政供热管网系统是将热媒从热源输送分配到用户的管道所组成的系统,包括热媒的管道、管道附件和附属建筑物。
添加笔记 (0条)
收藏
纠错
标记
66 全站仪能同时测定目标点的平面位置(X,Y)与高程(H)。
添加笔记 (0条)
收藏
纠错
标记
67 静定结构在几何特征上无多余联系的几何不变体系。
添加笔记 (0条)
收藏
纠错
标记
68 桁架体系中,杆件只承受轴向力。
添加笔记 (0条)
收藏
纠错
标记
69 城镇道路大量交叉口的存在,既影响车速,又影响道路的通行能力,因此,交叉口设计是否合理往往是能否提高道路通行能力的症结所在。
添加笔记 (0条)
收藏
纠错
标记
70 路线中线测量的方法常用的有极坐标法、偏角法、切线支距法、角度交会法和距离交会法。
添加笔记 (0条)
收藏
纠错
标记
案例题
00:00:27
暂停
休息一下...
继续做题
答题卡
0 / 74
单选题 (共40 题)
  • 1
  • 2
  • 3
  • 4
  • 5
  • 6
  • 7
  • 8
  • 9
  • 10
  • 11
  • 12
  • 13
  • 14
  • 15
  • 16
  • 17
  • 18
  • 19
  • 20
  • 21
  • 22
  • 23
  • 24
  • 25
  • 26
  • 27
  • 28
  • 29
  • 30
  • 31
  • 32
  • 33
  • 34
  • 35
  • 36
  • 37
  • 38
  • 39
  • 40
多选题 (共10 题)
  • 41
  • 42
  • 43
  • 44
  • 45
  • 46
  • 47
  • 48
  • 49
  • 50
判断题 (共20 题)
  • 51
  • 52
  • 53
  • 54
  • 55
  • 56
  • 57
  • 58
  • 59
  • 60
  • 61
  • 62
  • 63
  • 64
  • 65
  • 66
  • 67
  • 68
  • 69
  • 70
案例题 (共4 题)
  • 71
  • 72
  • 73
  • 74
未做
已做
标记
保存进度
交卷
提交纠错
请填入您发现的错误详情,或输入您对该题的评论或意见
您正在结束作答
您还有100道题未作答,是否确定交卷?
确定交卷 下次继续
警告:系统检测到您的账号存在安全风险

为了保护您的账号安全,请输入手机验证码后,完成身份验证。通过后方可继续刷题!

账号:
手机号:
短信验证码: 获取验证码
确认
若遇到问题,请 联系客服

试卷生成中,请等待

获取试卷失败

抱歉!

返回

你无该试卷的权限

购买题库
关于我们  |  免责声明  |  网站导航  |  帮助中心  |  联系我们
违法和不良信息举报/反馈/投诉邮箱:weilaiyunling@163.com
版权所有  ©2025 津ICP备2024020020号-1